什麼是移動平均線?
移動平均線是交易中最常用的指標之一。 它們通過顯示特定時間段內的股票、貨幣或資產的平均價格來説明平滑價格數據。 這使得識別市場的總體方向變得更加容易,無論是上升趨勢、下降趨勢還是橫盤走勢。
在快速變化的市場中,價格可能會迅速且難以預測地發生變化。 移動平均線有助於減少這種噪音,讓交易者更清楚地瞭解整體市場趨勢。 它們是技術分析的核心部分,也有助於識別支撐位和阻力位。
為什麼在交易中使用移動平均線?
在快速變化的市場中,價格可能迅速變化——因此很難判斷趨勢是正在形成還是正在消退。 通過顯示一條隨時間推移跟蹤價格走勢的平滑曲線,移動平均線幫助解決這一問題。
它們還可以説明交易者:
- 發現動量轉變
- 確定入場和退出時間
- 確認突破和反轉
移動平均線的類型
移動平均線有多種類型,每種類型的計算方法略有不同。 然而,最常用的包括:
- 簡單移動平均線 (SMA)——計算一定時期內的平均收盤價。 每個價格均被賦予同等權重。 它很容易理解,並且非常適合發現整體趨勢。
- 指數平滑移動平均線 (EMA)——更加重視近期價格,因此對市場變化的反應更快。 這使得它受到尋求更快信號的短期交易者的歡迎。
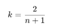
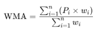
- 加權移動平均線 (WMA)——對每個價格點應用特定的權重,越近期的價格權重越高。 它比 EMA 提供更多的控制,並且在動蕩的市場中很有用。
這些類型使用略有不同的移動平均線公式,説明交易者根據他們的策略決定如何計算移動平均線。 每種類型都可以突出顯示趨勢並幫助識別關鍵的支撐位和阻力位。
在所有這些類型中,簡單移動平均線 (SMA) 通常是每個交易者首先學習的類型。 它易於計算,用途廣泛,是理解移動平均線在技術分析中如何發揮作用的基礎。 讓我們詳細探討一下 SMA 的原理以及為何它能如此有效地發現市場方向。
如何計算移動平均線?
每種類型的移動平均線都使用略有不同的公式。 選擇正確的指標取決於你的交易風格以及你希望的指標回應靈敏度。
簡單移動平均線(SMA):

這是最簡單的移動平均線公式——只需將一定週期數的收盤價相加,然後除以該數。
指數平滑移動平均線(EMA):

其中:

該公式更加重視近期價格,以便更快地響應市場變化。
加權移動平均線(WMA):

此版本對每個價格應用了特定的權重,從而提高了精度。 最近的價格具有最高權重。
這些公式有助於回答最常見的交易問題之一:“如何計算移動平均線? ”
專注於預測的交易者可能還會探索中心移動平均線,它使用中點而非追蹤價格。 比起即時交易中,這些在數據分析中更常見。
交易中的簡單移動平均線
什麼是簡單移動平均線?
簡單移動平均線 (SMA) 是一種廣泛使用的技術指標,通過計算特定時間段(例如天、小時或分鐘)內資產的平均價格來平滑價格數據。
通過將價格進行平均,它可以説明交易者過濾短期價格波動來識別趨勢和潛在的逆轉。 因此,SMA 減少了隨機價格波動造成的「噪音」 ,使交易者更容易看到潛在趨勢和潛在的轉捩點。
瞭解 SMA 的滯後性和回應速度
簡單移動平均線 (SMA) 是一個滯後指標,它基於過去的價格,對近期市場變化的反應較慢。 這有助於減少隨機價格波動帶來的“噪音”,使趨勢更加清晰。 然而,這也意味著 SMA 可能比其他一些指標稍晚一些發出趨勢變化信號。
較短的 SMA(例如 10 天)對價格變動的反應更快,但可能會發出更多錯誤信號。 較長的 SMA(例如 200 天)反應較慢,但在發現長期趨勢方面往往更可靠。
SMA 是如何計算的?
SMA 通過對一定時期內(例如 10 天)的資產收盤價進行平均來計算。
例如:
- 將最近 10 天的收盤價加起來。
- 除以 10 即可得到今天的 SMA 值。
- 隨著每一天的結束,最舊的價格將被刪除,而最新的價格將被添加以更新平均值。
這會在圖表上創建一條隨價格移動的平滑線。
SMA 週期範例:
- SMA (10):對最近 10 個收盤價進行平均,被視為短期移動平均線。 它對最近的價格變化做出快速反應,有助於捕捉短期動量。
- SMA (20):計算最近 20 個收盤價的平均值,以瞭解中期趨勢。
- SMA(50)或(200):長期平均值可以平滑更多波動並突顯數周或數月內的更大趨勢。
SMA 與 EMA:有什麼不同?
當你開始在交易中使用移動平均線時,瞭解兩種最流行的類型——簡單移動平均線 (SMA) 和指數平滑移動平均線 (EMA) 之間的關鍵差異,這會很有説明。 雖然兩者都用於識別趨勢和平滑價格數據,但它們的作用方式略有不同。
| 特徵 | 簡單移動平均線(SMA) | 指數平滑移動平均線(EMA) |
| 計算 | 將選定時間段內的所有收盤價進行平均 | 近期價格權重更大 |
| 反應性 | 對價格變化的反應較慢 | 對近期變動反應更快 |
| 最適合 | 長期趨勢分析 | 短期信號和動量轉變 |
| 信號穩定性 | 更穩定,錯誤信號更少 | 更敏感,但可能會很雜亂 |
| 常見用途 | 發現更廣泛的趨勢 | 捕捉早期趨勢轉變 |
簡單來說:
- SMA 通過平等對待所有數據,讓你更順暢地了解市場。
- EMA 可説明你更加關注當前的價格波動,從而發現更快的變化。
瞭解每種移動平均線如何對價格做出反應,這可以幫助你決定哪種最適合你的交易風格。
圖表詳解示例

圖 1:SMA 10(藍色)和 SMA 20(紅色)分別顯示短期和長期趨勢
在上圖中,我們使用了兩個關鍵的簡單移動平均線:
- SMA(10,收盤價)——藍線:緊密跟蹤短期價格變化的快速移動平均線。
- SMA(20,收盤價)——紅線:較慢移動的平均線,可以平滑長期價格趨勢。
這些移動平均線可説明交易者識別動量的變化並做出更明智的交易決策。 下面讓我們仔細看看圖表上發生的情況:
- 看跌交叉——潛在的賣出信號
“看跌交叉,潛在賣出信號”
當較短的 SMA (10) 向下穿過較長的 SMA (20) 時,就會出現看跌交叉。 這表明近期價格勢頭正在減弱,並可能預示著下降趨勢的開始。
交易者通常將這種交叉視為賣出信號,尤其是在價格強勁上漲或超買的情況下出現時——因為它可能預示著即將出現逆轉。
- 回調后的策略性入場
“回撤至 SMA 後在此賣出”
經驗豐富的交易者不會在交叉點立即賣出,而是等待回撤,即短期回撤到 SMA 區域後再開倉。
在這個例子中:
- 出現看跌交叉。
- 價格隨之下降。
- 然後,價格回落,回到移動平均線。
- 這種回撤為進入空頭交易提供了更清晰、風險更低的機會——通常具有更好的入場價格和更嚴格的止損。
廣受歡迎的移動平均線策略
- 黃金交叉:當短期移動平均線(例如 50 天移動平均線)移動到長期移動平均線(例如 200 天移動平均線)上方時出現的正向(看漲)信號。 這表明價格可能開始強勁上漲趨勢。
- 死亡交叉:一個負面(看跌)信號,即短期移動平均線跌破長期移動平均線。 這表明價格可能正在進入下降趨勢。
交易者通常密切關注這些信號,以標記市場方向的重要轉變。
與其他指標結合
為了提高移動平均線信號的可靠性,許多交易者將其與其他技術指標一起使用。 這些組合有助於確認趨勢、減少錯誤信號並提供更好的時機。
- RSI(相對強弱指數):衡量價格變動的速度和幅度。 RSI 有助於識別超買(潛在反轉下跌)和超賣(潛在反轉上漲)情況——這對於確認移動平均線交叉的信號很有用。
- MACD(指數平滑異同移動平均線):基於兩個 EMA 的動量指標。 它通過分析短期和長期趨勢之間的關係來顯示動量何時發生變化。 MACD 非常適合發現趨勢強度和潛在逆轉。
- 布林帶:圍繞移動平均線繪製兩條線來顯示波動性。 當價格觸及或突破該波段時,可能預示著潛在的突破或回調。 將布林帶與移動平均線相結合可以説明交易者在高波動性或低波動性期間發現入場點。
關鍵要點
- 快速和慢速 SMA 之間的交叉可以預示趨勢的變化。
- 看跌交叉:短期 SMA 向下突破長期 SMA → 可能出現下降趨勢。
- 看漲交叉:短期 SMA 向上突破長期 SMA → 可能出現上升趨勢(此處未顯示,但反過來方式相同)。
- 回撤提供了信號后的策略性入場點,改善了交易時機。
專業提示:明智地使用移動平均線
移動平均線在價格明顯上漲或下跌的趨勢市場中效果最佳。 在區間震蕩或橫盤市場中,交叉可能會產生錯誤信號,造成洗盤和混亂。 始終使用其他指標或價格行為來確認移動平均線信號,從而提高準確性並避免常見的陷阱。
在將其用於真實交易之前,請根據歷史數據對你的策略進行回測,以瞭解其在不同市場條件下的表現。 你還可以使用類比帳戶進行無風險練習——註冊一個免費的 ATFX 模擬帳戶即可開始使用。
