什么是移动平均线?
移动平均线是交易中最常用的指标之一。它们通过显示特定时间段内的股票、货币或资产的平均价格来帮助平滑价格数据。这使得识别市场的总体方向变得更加容易,无论是上升趋势、下降趋势还是横盘走势。
在快速变化的市场中,价格可能会迅速且难以预测地发生变化。移动平均线有助于减少这种噪音,让交易者更清楚地了解整体市场趋势。它们是技术分析的核心部分,也有助于识别支撑位和阻力位。
为什么在交易中使用移动平均线?
在快速变化的市场中,价格可能迅速变化——因此很难判断趋势是正在形成还是正在消退。通过显示一条随时间推移跟踪价格走势的平滑曲线,移动平均线帮助解决这一问题。
它们还可以帮助交易者:
- 发现动量转变
- 确定入场和退出时间
- 确认突破和反转
移动平均线的类型
移动平均线有多种类型,每种类型的计算方法略有不同。然而,最常用的包括:
- 简单移动平均线 (SMA)——计算一定时期内的平均收盘价。每个价格均被赋予同等权重。它很容易理解,并且非常适合发现整体趋势。
- 指数平滑移动平均线 (EMA)——更加重视近期价格,因此对市场变化的反应更快。这使得它受到寻求更快信号的短期交易者的欢迎。
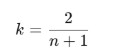
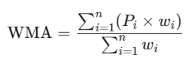
- 加权移动平均线 (WMA)——对每个价格点应用特定的权重,越近期的价格权重越高。它比 EMA 提供更多的控制,并且在动荡的市场中很有用。
这些类型使用略有不同的移动平均线公式,帮助交易者根据他们的策略决定如何计算移动平均线。每种类型都可以突出显示趋势并帮助识别关键的支撑位和阻力位。
在所有这些类型中,简单移动平均线 (SMA) 通常是每个交易者首先学习的类型。它易于计算,用途广泛,是理解移动平均线在技术分析中如何发挥作用的基础。让我们详细探讨一下 SMA 的原理以及为何它能如此有效地发现市场方向。
如何计算移动平均线?
每种类型的移动平均线都使用略有不同的公式。选择正确的指标取决于你的交易风格以及你希望的指标响应灵敏度。
简单移动平均线(SMA):

这是最简单的移动平均线公式——只需将一定周期数的收盘价相加,然后除以该数。
指数平滑移动平均线(EMA):

其中:

该公式更加重视近期价格,以便更快地响应市场变化。
加权移动平均线(WMA):

此版本对每个价格应用了特定的权重,从而提高了精度。最近的价格具有最高权重。
这些公式有助于回答最常见的交易问题之一:“如何计算移动平均线?”
专注于预测的交易者可能还会探索中心移动平均线,它使用中点而非追踪价格。比起实时交易中,这些在数据分析中更常见。
交易中的简单移动平均线
什么是简单移动平均线?
简单移动平均线 (SMA) 是一种广泛使用的技术指标,通过计算特定时间段(例如天、小时或分钟)内资产的平均价格来平滑价格数据。
通过将价格进行平均,它可以帮助交易者过滤短期价格波动来识别趋势和潜在的逆转。因此,SMA 减少了随机价格波动造成的“噪音”,使交易者更容易看到潜在趋势和潜在的转折点。
了解 SMA 的滞后性和响应速度
简单移动平均线 (SMA) 是一个滞后指标,它基于过去的价格,对近期市场变化的反应较慢。这有助于减少随机价格波动带来的“噪音”,使趋势更加清晰。然而,这也意味着 SMA 可能比其他一些指标稍晚一些发出趋势变化信号。
较短的 SMA(例如 10 天)对价格变动的反应更快,但可能会发出更多错误信号。较长的 SMA(例如 200 天)反应较慢,但在发现长期趋势方面往往更可靠。
SMA 是如何计算的?
SMA 通过对一定时期内(例如 10 天)的资产收盘价进行平均来计算。
例如:
- 将最近 10 天的收盘价加起来。
- 除以 10 即可得到今天的 SMA 值。
- 随着每一天的结束,最旧的价格将被删除,而最新的价格将被添加以更新平均值。
这会在图表上创建一条随价格移动的平滑线。
SMA 周期示例:
- SMA (10):对最近 10 个收盘价进行平均,被视为短期移动平均线。它对最近的价格变化做出快速反应,有助于捕捉短期动量。
- SMA (20):计算最近 20 个收盘价的平均值,以了解中期趋势。
- SMA(50)或(200):长期平均值可以平滑更多波动并突显数周或数月内的更大趋势。
SMA 与 EMA:有什么不同?
当你开始在交易中使用移动平均线时,了解两种最流行的类型——简单移动平均线 (SMA) 和指数平滑移动平均线 (EMA) 之间的关键差异,这会很有帮助。虽然两者都用于识别趋势和平滑价格数据,但它们的作用方式略有不同。
| 特征 | 简单移动平均线(SMA) | 指数平滑移动平均线(EMA) |
| 计算 | 将选定时间段内的所有收盘价进行平均 | 近期价格权重更大 |
| 反应性 | 对价格变化的反应较慢 | 对近期变动反应更快 |
| 最适合 | 长期趋势分析 | 短期信号和动量转变 |
| 信号稳定性 | 更稳定,错误信号更少 | 更敏感,但可能会很杂乱 |
| 常见用途 | 发现更广泛的趋势 | 捕捉早期趋势转变 |
简单来说:
- SMA 通过平等对待所有数据,让你更顺畅地了解市场。
- EMA 可帮助你更加关注当前的价格波动,从而发现更快的变化。
了解每种移动平均线如何对价格做出反应,这可以帮助你决定哪种最适合你的交易风格。
图表详解示例

图 1:SMA 10(蓝色)和 SMA 20(红色)分别显示短期和长期趋势
在上图中,我们使用了两个关键的简单移动平均线:
- SMA(10,收盘价)——蓝线:紧密跟踪短期价格变化的快速移动平均线。
- SMA(20,收盘价)——红线:较慢移动的平均线,可以平滑长期价格趋势。
这些移动平均线可帮助交易者识别动量的变化并做出更明智的交易决策。下面让我们仔细看看图表上发生的情况:
- 看跌交叉——潜在的卖出信号
“看跌交叉,潜在卖出信号”
当较短的 SMA (10) 向下穿过较长的 SMA (20) 时,就会出现看跌交叉。这表明近期价格势头正在减弱,并可能预示着下降趋势的开始。
交易者通常将这种交叉视为卖出信号,尤其是在价格强劲上涨或超买的情况下出现时——因为它可能预示着即将出现逆转。
- 回调后的策略性入场
“回撤至 SMA 后在此卖出”
经验丰富的交易者不会在交叉点立即卖出,而是等待回撤,即短期回撤到 SMA 区域后再开仓。
在这个例子中:
- 出现看跌交叉。
- 价格随之下降。
- 然后,价格回落,回到移动平均线。
- 这种回撤为进入空头交易提供了更清晰、风险更低的机会——通常具有更好的入场价格和更严格的止损。
广受欢迎的移动平均线策略
- 黄金交叉:当短期移动平均线(例如 50 天移动平均线)移动到长期移动平均线(例如 200 天移动平均线)上方时出现的正向(看涨)信号。这表明价格可能开始强劲上涨趋势。
- 死亡交叉:一个负面(看跌)信号,即短期移动平均线跌破长期移动平均线。这表明价格可能正在进入下降趋势。
交易者通常密切关注这些信号,以标记市场方向的重要转变。
与其他指标结合
为了提高移动平均线信号的可靠性,许多交易者将其与其他技术指标一起使用。这些组合有助于确认趋势、减少错误信号并提供更好的时机。
- RSI(相对强弱指数):衡量价格变动的速度和幅度。RSI 有助于识别超买(潜在反转下跌)和超卖(潜在反转上涨)情况——这对于确认移动平均线交叉的信号很有用。
- MACD(指数平滑异同移动平均线):基于两个 EMA 的动量指标。它通过分析短期和长期趋势之间的关系来显示动量何时发生变化。MACD 非常适合发现趋势强度和潜在逆转。
- 布林带:围绕移动平均线绘制两条线来显示波动性。当价格触及或突破该波段时,可能预示着潜在的突破或回调。将布林带与移动平均线相结合可以帮助交易者在高波动性或低波动性期间发现入场点。
关键要点
- 快速和慢速 SMA 之间的交叉可以预示趋势的变化。
- 看跌交叉:短期 SMA 向下突破长期 SMA → 可能出现下降趋势。
- 看涨交叉:短期 SMA 向上突破长期 SMA → 可能出现上升趋势(此处未显示,但反过来方式相同)。
- 回撤提供了信号后的策略性入场点,改善了交易时机。
专业提示:明智地使用移动平均线
移动平均线在价格明显上涨或下跌的趋势市场中效果最佳。在区间震荡或横盘市场中,交叉可能会产生错误信号,造成洗盘和混乱。始终使用其他指标或价格行为来确认移动平均线信号,从而提高准确性并避免常见的陷阱。
在将其用于真实交易之前,请根据历史数据对你的策略进行回测,以了解其在不同市场条件下的表现。你还可以使用模拟账户进行无风险练习——注册一个免费的 ATFX 模拟账户即可开始使用。
